Contrôler la supraconductivité entre deux isolants avec un champ électrique
Octobre 2012
Une collaboration de physiciens vient de montrer qu’à l’interface entre les deux oxydes LaTiO3 et SrTiO3 se forme un gaz d’électrons à deux dimensions dont la supraconductivité à basse température peut être contrôlée par l’application d’un champ électrique.
Récemment découverts, les gaz d’électrons à deux dimensions qui se forment à l’interface entre deux oxydes ouvrent de nombreuses perspectives pour l’électronique. Ils présentent une bien plus grande variété de propriétés physiques que les gaz d’électrons présents dans les hétérostructures de semi-conducteurs, avec notamment un ordre magnétique ou l’apparition de supraconductivité. Une collaboration de physiciens du Laboratoire de Physique et d’Etude des Matériaux - LPEM (CNRS/ESPCI-ParisTech/UPMC), du Laboratoire National des Champs Magnétiques Intenses - LNCMI (CNRS/INSA Toulouse/Univ. Toulouse 3/Univ. Joseph Fourier Grenoble) et du département de physique de l’Université de Kanpur (Inde) vient de montrer que dans le cas de l’hétérostructure d’oxydes isolants LaTiO3/SrTiO3, il se forme un tel gaz bidimensionnel d’électrons de grande mobilité. A basse température, ce gaz présente une supraconductivité qu’il est possible de contrôler grâce à un champ électrique. Ce travail, publié dans la revue Physical Review Letters ouvre la voie à de nombreuses études, en particulier celle des transitions de phase quantique à température nulle.
L’hétérostructure LaTiO3/SrTiO3 est obtenue en faisant croitre un cristal de LaTiO3 de quelques monocouches atomiques sur un substrat de SrTiO3. Bien que ces deux oxydes soient isolants, un gaz bidimensionnel d’électrons se forme à leur interface. En-dessous d’une température critique d’environ 300 mK, ce gaz condense dans un état supraconducteur de résistance nulle. La mesure des champs magnétiques critiques parallèle et perpendiculaire à l’hétérostructure a permis de déduire que le gaz est confiné sur une épaisseur inférieure à 10 nm et confirmer ainsi son caractère bidimensionnel. En réalisant des mesures d’effet Hall sous très fort champ magnétique au LNCMI de Toulouse, les physiciens ont mis en évidence l’existence de deux types de porteurs de charge dans le gaz. Une majorité d’électrons peu mobiles sont confinés très près de l’interface tandis qu’une minorité d’électrons très mobiles s’étendent davantage dans le SrTiO3. En corrélant les mesures d’effet Hall et de la température de transition critique en fonction de la tension de grille, les physiciens du LPEM ont montré que les responsables de la supraconductivité du gaz d’électrons sont ces électrons mobiles. En changeant la tension d’une grille métallique déposée sur la face arrière du substrat, il est possible de retirer ces électrons ou d’en injecter un plus grand nombre. Cette modulation de la densité électronique permet alors de faire passer le gaz électronique d’un état isolant à un état supraconducteur.

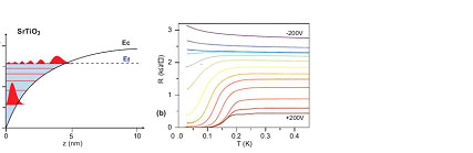
A gauche : Puits de potentiel formé par la courbure de la bande de conduction (Ec) du SrTiO3 à l’interface avec LaTiO3. Les sous-bandes d’énergies dis¬crètes sont remplies jusqu’au niveau de Fermi Ef. L’enveloppe de la fonction d’onde électronique de la première et celle de la dernière bande remplie sont représentées en trait plein
A droite : Courbes de résistance en fonction de la température, mesurées pour différentes tensions de grille, montrant la transition entre l’état supra¬conducteur et l’état isolant.
En savoir plus
Two-Dimensional Superconducting Phase in LaTiO3/SrTiO3
Heterostructures Induced by High-Mobility Carrier Doping ,J. Biscaras1, N. Bergeal1, S. Hurand1, C. Grossetête1, A. Rastogi2, R. C. Budhani2,3, D. LeBoeuf4, C. Proust4 et J. Lesueur1, Phys. Rev. Lett. 108, 247004 (2012).
Retrouvez l’article de la publication sur la base ouverte ArXiv.
Contact chercheur
Nicolas Bergeal, maître de conférences ESPCI
Jérôme Lesueur, professeur ESPCI
Informations complémentaires
Laboratoire de Physique et d’Etude des Matériaux (LPEM), Paris
Department of Physics, Indian Institute of Technology Kanpur, India
National Physical Laboratory, New Delhi, India
Laboratoire National des Champs Magnétiques Intenses (LNCMI), Toulouse
CNRS - INSA Toulouse - Univ. Toulouse 3 Univ. Joseph Fourier Grenoble
Telechargement du Pdf

